Plant-Based Inhibitor vs. Conventional Polymers and Phosphonates: Performance Assessment via Chronoamperometry, Fast Controlled Precipitation and NACE Standard TM0374-2007 Protocols
Published on
26 November 2025
Share
Abstract
In an increasingly challenging operational environment, optimizing industrial system performance is crucial. This includes ensuring the sustainability of implemented water networks and preventing phenomena that could disrupt production continuity, such as corrosion, scaling, and biofouling. To address these significant constraints, users often rely on specialized companies’ expertise, particularly in preventing such phenomena.
Currently, the dedicated chemicals available in the market are largely derived from petrochemicals or mining, formulated from finite fossil resources. The long-term sustainability of these solutions is therefore uncertain. In response, environmental initiatives have strategically focused on using bio-sourced extracts, offering low environmental impact and improved efficiency.
In recent years, efforts have been made to seek innovative alternatives to conventional chemicals, leading to the development of bio-based scaling inhibitors. While studies on natural scaling inhibitors date back to the 1950s, the search for effective bio-sourced chemical products remains ongoing. Thus, questions regarding the effectiveness of such products compared to conventional treatments must be addressed. First, surface precipitation will be assessed using chronoamperometry over a 1-hour period in calcium carbonate-containing water.
The most effective polymer will then be subjected to homogeneous precipitation testing via a 3-hour fast controlled precipitation method.
Finally, the plant-based agent will be compared to AA/AMPS and PBTC using the NACE Standard TM0374-2007, evaluating the dispersion of calcium carbonate and calcium sulfate.
The experiments highlight that effective concentrations are around 1 ppm for chronoamperometry tests (slightly lower efficiency for ODYLIFE G 01) and around 1 ppm for fast controlled precipitation tests. Additionally, the standard method shows better carbonate dispersion with ODYLIFE G 01 and better sulfates dispersion with AA/AMPS polymers at typical dosages for cooling water systems.
Overall, the plant-based conditioning agent exhibits comparable performance to conventional fossil-based inhibitors under the tested conditions.
1. Context & Industry Need
1. Importance of sustainable water treatment in industrial settings
Water treatment goals have been focusing on operative performance mainly; equipment integrity and heat exchange are the most common KPI’s for a Water Treatment Supplier; Chemical products. Nowadays social and environmental issues have raised.
Sustainable water treatment in industrial settings is essential for conserving vital freshwater resources and reducing environmental impact. Industries are among the largest consumers of water, using it for processes such as cooling, cleaning, and manufacturing. Without proper treatment, wastewater can contaminate natural ecosystems with harmful chemicals, heavy metals, and other pollutants. Sustainable water treatment ensures that water used in industrial processes is cleaned and often reused, reducing the demand for fresh water and minimizing the volume of waste discharged into the environment.
From an economic perspective, meeting environmental regulations through sustainable practices can prevent costly fines and foster positive relationships with regulators and local communities.
Moreover, sustainable water management enhances a company’s reputation and contributes to long-term business resilience. As global water scarcity intensifies due to climate change and population growth, companies that prioritize sustainable water treatment position themselves as leaders in environmental stewardship. This commitment not only supports global sustainability goals but also attracts environmentally conscious investors, customers, and partners. In the long run, integrating sustainability into water treatment strategies is not just a regulatory or ethical necessity—it’s a smart business decision.
2. Limitations of fossil-based scale inhibitors
Fossil-based scale inhibitors, commonly derived from petroleum-based chemicals such as phosphonates and certain polymers, have been widely used in cooling water treatment systems. However, they come with several limitations that affect both environmental sustainability and long-term performance:
Environmental and Regulatory Concerns: Fossil-based scale inhibitors often contain phosphorus or nitrogen compounds, which can contribute to eutrophication when discharged into natural water bodies. This leads to algal blooms and degraded water quality. As a result, many regions have implemented stricter discharge regulations limiting phosphorus content, making traditional fossil-based inhibitors less viable in the long term.
Limited Biodegradability: Many fossil-derived scale inhibitors are not readily biodegradable, which poses a problem for water reuse and discharge compliance. Persistent chemicals can accumulate in ecosystems, potentially harming aquatic life. In contrast, the growing demand for greener alternatives is driven by the need for inhibitors that break down safely in the environment without leaving toxic residues.
Resource Dependence and Cost Volatility: Fossil-based chemicals are subject to the fluctuating costs and availability of petroleum resources. This dependence not only affects economic predictability for industrial operators but also increases vulnerability to supply chain disruptions. As industries move toward more sustainable operations, the reliance on finite fossil resources becomes a strategic disadvantage.
These limitations are prompting a shift toward bio-based or biodegradable scale inhibitors that offer similar or improved performance while addressing environmental and regulatory challenges.
2. Scientific Rationale
1. Emergence and relevance of bio-based alternatives
The emergence of bio-based scale inhibitors in cooling water treatment is driven by increasing environmental regulations, sustainability goals, and the demand for safer, more biodegradable alternatives to conventional fossil-based chemicals. These bio-based inhibitors are typically derived from renewable resources such as polysaccharides, amino acids, or lignin, and are designed to prevent the formation of mineral scales (like calcium carbonate or calcium sulfate) in cooling systems without contributing to ecological harm.
One of the key advantages of bio-based scale inhibitors is their improved environmental profile. Many of these compounds are inherently biodegradable, non-toxic, and phosphorus-free, making them more compliant with modern discharge regulations that aim to minimize nutrient pollution and protect aquatic ecosystems. For example, modified polyaspartic acids and lignin derivatives show strong antiscalant properties while breaking down more easily in natural environments. Their use helps industries meet sustainability metrics and reduce long-term ecological footprints.
In terms of relevance, bio-based scale inhibitors are increasingly being adopted in industries like power generation, petrochemicals, and food processing, where environmental compliance and resource conservation are top priorities. They also support the broader movement toward circular economy practices by utilizing waste biomass or renewable feedstocks in their production. As their performance continues to improve through innovations in green chemistry and formulation science, bio-based inhibitors are becoming a competitive and responsible choice for modern water treatment strategies.
2. Historical context and current innovation landscape
The historical context of cooling water scale inhibitors dates back to the mid-20th century, when industries began facing significant scaling problems in recirculating cooling systems. Initially, inorganic compounds like polyphosphates and zinc salts were used to prevent scale formation, but these were often inefficient at high temperatures and pH levels. In the 1960s–1980s, synthetic organic inhibitors—especially phosphonates (e.g., HEDP, ATMP) and acrylic-based polymers—became dominant due to their superior performance and thermal stability. However, their environmental persistence and contribution to nutrient pollution (e.g., eutrophication from phosphorus discharge) soon raised concerns, prompting stricter regulations and a search for more sustainable alternatives.
The current innovation landscape is shaped by the dual need for high-performance scale inhibition and environmental responsibility. Regulatory pressure—such as limits on phosphorus and non-biodegradable organics in wastewater—has accelerated research into greener chemistries. This includes the development of phosphorus-free formulations, biodegradable synthetic polymers, and bio-based inhibitors derived from renewable feedstocks. Innovations like polyaspartic acid (derived from aspartic acid), lignin-based polymers, and tannin-modified inhibitors are showing promising results in both lab and industrial settings. Moreover, digital technologies and smart water management are beginning to play a role in optimizing inhibitor use. Real-time monitoring, predictive scaling models, and adaptive dosing systems are being integrated into water treatment strategies to reduce chemical overuse and enhance system efficiency. Combined with advances in green chemistry, these innovations are redefining the role of scale inhibitors—not just as chemical agents, but as part of a broader, data-informed, and sustainable water management approach.
Selecting the right antiscalant for cooling water scale control involves balancing technical performance, system compatibility, regulatory compliance, and environmental impact. For this experimental design several factors were considered:
Match Antiscalant Type to Scale Type
Different antiscalants are effective against different types of scale, for common scale conditions Calcium carbonate and Calcium Sulphate were considered as main objective for scale control, some alternative for different scale species are:
Specialized silica dispersants, some polycarboxylates
Iron-based scales
Chelating agents (EDTA, NTA), phosphonates
Consider Operating Conditions
Temperature: Some antiscalants degrade at higher temps; choose thermally stable options.
pH range: Ensure compatibility of the antiscalant with system pH (e.g., some are less effective at high pH).
Flow and retention time: Adequate dosing and mixing are essential for effectiveness.
Evaluate Environmental and Regulatory Factors
Phosphorus content: In phosphorus-restricted areas, use phosphorus-free formulations.
Biodegradability: Prefer biodegradable or bio-based antiscalants where discharge is environmentally sensitive.
Toxicity: Ensure compliance with local discharge limits and aquatic toxicity standards.
Compatibility and System Considerations
Compatibility with other treatment chemicals: Avoid interactions with biocides, corrosion inhibitors, etc.
Deposition tendencies: Select inhibitors that also help disperse particles and prevent fouling.
Scaling kinetics: In fast-precipitating systems, choose rapid-acting or synergistic blends.
Field Testing and Optimization
Perform lab simulation (dispersion tests) and pilot trials to validate performance.
Use real-time monitoring tools (e.g., conductivity, turbidity, or scaling sensors) for ongoing assessment and dosage adjustments.
By carefully considering these factors, operators can select antiscalants that offer both effective scale control and sustainable system performance, minimizing downtime, optimizing water use, and ensuring regulatory compliance.
2. Testing protocols:
a. Chronoamperometry
Chronoamperometry (CA) is an electrochemical technique using a three-electrode cell, in which the working electrode is polarized at –1 V (vs. SCE) to reduce dissolved oxygen. The generation of hydroxide ions near the working electrode surface induces the precipitation of calcium carbonate on the electrode. The resulting current density was monitored over time during the scaling process. This method is well-documented in the scientific literature [1–3]. CA experiments were performed using a potentiostat designed in-house. The working electrode was a rotating disk electrode (RDE) made of steel with an effective surface area of 1 cm², rotating at a fixed speed of 1,000 revolutions per minute (rpm). The surface of the working electrode was polished using silicon carbide paper (P1200), thoroughly rinsed with distilled water, and carefully dried. The platinum counter electrode and the saturated calomel electrode (SCE) were supplied by BioLogic. The entire system was controlled by a computer using custom software developed and executed in Spyder within an Anaconda environment. Current was recorded as a function of time. Measurements were carried out at 35 °C in a 100 mL double-walled reactor containing 0.500 g/L of CaSO₄·2H₂O, 0.060 g/L of MgSO₄·7H₂O, and 0.420 g/L of NaHCO₃.
The efficiency, ECA, was calculated based on the residual current, according to the following equation ECA=1-i0iiWhere i₀ and iᵢ represent the residual current values in the absence and in the presence of inhibitor, respectively.
b. Fast controlled precipitation
The Controlled Rapid Precipitation (FCP) method enables the characterization of the nucleation phase as well as the homogeneous precipitation of calcium carbonate in solution, both in the presence and absence of inhibitor. It is worth noting that all protocol parameters were rigorously controlled to ensure that the FCP method is reliable and reproducible, as detailed elsewhere [4,5]. Supersaturation levels (SL) were calculated using an in-house software based on the equations published by Legrand et al. [6]. Measurements were carried out in 320 mL of solution containing 0.500 g/L of CaCO₃, placed in a 400 mL beaker immersed in a thermostated bath maintained at 20 °C. The solution was pre-saturated with CO₂ by bubbling, which reduced its pH to approximately 5.5 under the experimental conditions. pH and resistivity were simultaneously measured using a multimeter (InoLab, Multi 9620 IDS) equipped with a pH electrode (SenTix 980-P) and a conductivity electrode (Tetra-Con 925-P). The entire system was computer-controlled, and both pH and resistivity were recorded in real time as a function of time.
For a given concentration, the scaling inhibition efficiency, EFCP, of each inhibitor was calculated using the following equation:
image ODYSSEE Environnement
Where ρ₀ and ρᵢ represent the resistivity values in the absence and in the presence of inhibitor, respectively.
c. Fast controlled precipitation
The NACE Standard TM0374-2007 Laboratory Screening Tests (LST) are designed to assess the effectiveness of chemical scale inhibitors in preventing the formation of calcium sulfate (gypsum) and calcium carbonate (limestone/marl) scales. These tests simulate real-world conditions found in oilfield and industrial water systems to determine the inhibitors’ capability to control mineral scale formation.
The primary objective of these tests is to determine the capacity of various scale inhibitors to suppress or delay the precipitation of calcium sulfate and calcium carbonate, thereby reducing operational scale-related issues such as equipment fouling, flow obstruction, and productivity losses.
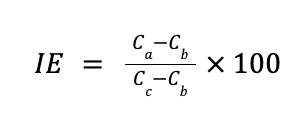
Saturated solutions for calcium sulfate (gypsum) and calcium carbonate (limestone/marl) are added with scale inhibitors at different doses, gypsum and limestone are promoted at 71°C constant temperature (160°F) and induction time of 24 hours. Inhibitor Efficiency is calculated by the remanent calcium concentration in solution.
Inhibition Efficiency percentage can be calculated as follows:
image 1 ODYSSEE Environnement
Where: Ca = Ca2+ concentration in the treated sample after precipitation. Cb = Ca2+ concentration in the blank after precipitation. Cc = Ca2+ concentration in the blank before precipitation.
4. Key Results & Analysis
The antiscaling properties of the PAA solution were investigated using the CA (chronoamperometry) and FCP (controlled rapid precipitation) methods.
1. Investigation by Chronoamperometry
The CA curves obtained in the absence and presence of PAA are presented in Figure 3. In the absence of PAA, the reduction current of dissolved oxygen decreases over time during the formation of the CaCO₃ layer. The residual current value, approximately 36 µA, corresponds to the diffusion of oxygen through the porous CaCO₃ layer. In the presence of PAA, a delay in the scaling time, tₛ, defined as the intersection of the tangent at the inflection point of the CA curve with the time axis, was observed. tₛ values were determined to be 8 minutes, 10 minutes, and 12 minutes respectively without PAA, with 1 ppm PAA, and 2 ppm PAA. However, this concentration was not sufficient to completely block the electrode surface. With 2 ppm of PAA, the residual current decreased to a stable value of 274 µA. At 5 ppm of PAA, no tₛ could be determined, and the residual current stabilized at 700 µA, suggesting that no CaCO₃ precipitation occurred on the electrode surface.
The CA curves obtained in the absence and presence of PAA-AMPS are presented in Figure 4. In the presence of 1 ppm of PAA-AMPS, no significant difference was observed compared to the reference without inhibitor. At 2 ppm of PAA-AMPS, a delay in the scaling time was observed (tₛ estimated at approximately 55 minutes). In addition, a current plateau stabilized at around 0.4 mA/m² for 10 minutes. The current then decreased to 150 µA. The shape of the CA curve in the presence of 4 ppm of PAA-AMPS was similar, with a higher plateau (810 µA), a residual current of 174 µA, but a tₛ that was difficult to determine. In the presence of PAA-AMPS, CaCO₃ changed its morphology and no longer precipitated as calcite (stable), as observed without inhibitor, but rather as vaterite (metastable)[7]. Although Xia et al. do not explicitly describe a dynamic rearrangement of the deposit, this phenomenon is documented in the literature on protective polymer coatings and on polymer adsorption at mineral interfaces [7–9]. In our case, the current plateau could be attributed to a combination of conformational adaptation of the adsorbed layer and the vaterite-to-calcite transition. However, this hypothesis remains to be confirmed through more in-depth investigation. In the presence of 5 ppm of PAA-AMPS, the initial current plateau appears to stabilize over a longer period (up to 40 minutes), and the residual current after one hour of testing is 587 µA.
The CA curves obtained in the absence and presence of ODYLIFE G01 are presented in Figure 5. In the presence of 1 ppm and 2 ppm of ODYLIFE G01, a slight delay in the scaling time was observed—10 minutes and 11 minutes, respectively. The current decreased to a single plateau with intensity values of 34 µA and 44 µA, respectively. At 5 ppm of ODYLIFE G01, tₛ was around 10 minutes, but the residual current stabilized at 269 µA. At 6.5 ppm of ODYLIFE G01, no tₛ could be estimated; a rebound was observed after 20 minutes of testing, and the current stabilized at 674 µA, suggesting that no CaCO₃ precipitation occurred on the electrode surface. Due to the complex chemical composition of ODYLIFE G01 (a natural plant extract), this rebound cannot be attributed to any specific molecule. However, it could potentially be explained by a conformational adaptation or a phase transition, as proposed in the case of PAA-AMPS—though this hypothesis requires further investigation.
2. Investigation by Controlled Rapid Precipitation
The evolution of pH and resistivity as a function of time during a controlled rapid precipitation experiment is presented, both in the absence and presence of PAA. In the FCP method, the supersaturation levels are more moderate than those generated by the CA method. The nucleation and growth processes of CaCO₃ are therefore closer to a real-world scaling phenomenon (Figure 1). In the FCP method, supersaturation levels are more moderate than those achievesd with the CA method. As a result, the nucleation and growth processes of CaCO₃ more closely resemble actual scaling phenomena encountered in real systems [5]. However, this is no longer a surface precipitation process (as typically observed at the top of a cooling tower, where skin temperature is highest), but rather a homogeneous precipitation.
The first stage of the FCP experiment is characterized by a nucleation phase during which the pH increases until it reaches a maximum value, pHₚ, corresponding to the precipitation time, tₛ. Thereafter, the pH gradually decreases until reaching a constant value. This stage corresponds to the homogeneous precipitation of CaCO₃. Simultaneously, the resistivity of the solution increases sharply over time; the rate of homogeneous precipitation is related to the slope of the resistivity–time curve.
In the absence of inhibitor, the precipitation time (tₛ) for CaCO₃ is 58 minutes, and the solution supersaturation level (SL) is 4. In the presence of PAA, tₚ increases with inhibitor concentration. The nucleation phase is therefore significantly extended, and homogeneous CaCO₃ precipitation is delayed—suggesting that PAA acts as a nucleation inhibitor. At 0.1 ppm of PAA, calcium carbonate precipitates at an SL value of 45.
Moreover, the rate of homogeneous precipitation decreases as PAA concentration increases. Consequently, PAA exerts a significant inhibitory effect on crystal growth kinetics. CaCO₃ precipitation is completely inhibited from 0.5 ppm of PAA; at this concentration, the product prevents calcium carbonate precipitation up to an SL value of 68—demonstrating high inhibitory efficiency [10,11]. The parameters derived from the FCP curves are reported in Table 1.
The FCP curves showing the evolution of pH and resistivity over time in the absence and presence of ODYLIFE G01 are presented in Figure 2.
In the presence of ODYLIFE G01, the nucleation phase is significantly prolonged and the homogeneous precipitation of CaCO₃ is delayed, suggesting that ODYLIFE G01 acts as a nucleation inhibitor. At 0.1 ppm of ODYLIFE G01, homogeneous CaCO₃ precipitation occurs at an SL value of 18. ODYLIFE G01 exhibits a limited inhibitory effect on crystal growth rate. However, CaCO₃ precipitation in solution is completely inhibited at a concentration of 2 ppm. Therefore, under these experimental conditions, ODYLIFE G01 can prevent scaling precipitation up to an SL value of 54. The parameters derived from the FCP curves are reported in Table 1.
3. Investigation by Laboratory Screening Tests
Two brine solution one of calcium and magnesium made from 12.15 g/L CaCl2 (reactive grade) and 3.68 g/L MgCl2 • 6H2O (reactive grade) and the second made with 7.36 g/L NaHCO3 (reactive grade) and 33.00 g / L de NaCl (reactive grade), both brines are saturated with 250 ml/min of CO2; then 50 mL of each solution is combined to fill each 100 mL flat bottom test bottle.
For sulfate test, 50 mL of calcium brine made with 7.50 g / L NaCl (reactive grade) and 11.10 g / L CaCl2 • 2H2O is combined with 50 mL of a solution made with 7.50 g / L NaCl (reactive grade) and 10.66 g / L de Na2SO4; a 100 mL flat bottom test bottle is filled with the mix.
1% by weight solutions of the scale inhibitors to be analyzed are prepared with deionized water; materials selected to be evaluated are standard PBTC, two well conventional copolymer AA-AMPS and Odylife G01. Doses selected to compare are 5, 10 and ppm for each material.
Calcium carbonate and Calcium sulfate are induced to precipitate at constant temperature of 71°C for 24 hours, small crystals can be appreciated on the bottom of bottle for the blank test. Each test was run by in duplicate.
Results for PBTC in Table 2 show low inhibition capability for 5, 10 and 10 ppm for calcium carbonate, IE for carbonates reach 11% and show no improvement at higher doses, for calcium sulfate, Table 6, scale inhibition IE achieves 33% at 25 ppm doses.
Copolymer AA-AMPS (A) achievess consistent IE with doses increasing higher doses get better performance, Table 3, reaching 33% at 25 ppm dosage for calcium carbonate. Similar result is obtained for calcium sulfate scale inhibition, Table 7, maximum IE for sulfate for Copolymer AA-AMPS (A) was 26.7% at 25 ppm.
Copolymer AA-AMPS (B), Table 4, shows regular performance for carbonate inhibition achieving 17.7% IE at 25 ppm; for calcium sulfate scale inhibition, Table 8, copolymer AA-AMPS (B) shows excellent performance achieving 76.2% at 25 ppm dosage.
Odylife G01 achievess better IE at 5 ppm than PBTC, AA-AMPS (A) and AA-AMPS (B) achieving 18.0 % at 5 ppm, Table 5, maximum IE achievesd was 64.9% at 25 ppm dosage. For calcium sulfate, Table 9, inhibition achievesd similar results for 5 and 10 ppm than AA-AMPS (A) and AA-AMPS (B), and achievesd excellent performance at 25 ppm, 99% Inhibition efficiency.
5. Conclusions & Industrial Implications
1. Performance equivalency under test conditions
The chronoamperometry (CA) results reveal that ODYLIFE G01 exhibits a dose-dependent inhibition effect on calcium carbonate (CaCO₃) scaling on electrode surfaces:
At low doses (1–2 ppm), ODYLIFE G01 causes a slight delay in scaling time (tₛ) and stabilizes the current at low values (34–44 µA), indicating partial inhibition.
At 5 ppm, the residual current increases to 269 µA, suggesting reduced scale formation but not complete inhibition.
At 6.5 ppm, no scaling time (tₛ) could be determined, and the current stabilizes at 674 µA, implying complete prevention of CaCO₃ precipitation on the electrode surface.
Additionally, a rebound effect observed at 6.5 ppm suggests a possible conformational or phase transition, potentially linked to the complex nature of ODYLIFE G01 as a natural plant extract. This behavior is similar to that seen with PAA-AMPS and may involve dynamic interactions at the mineral interface.
Odylife G01 demonstrates strong nucleation inhibition capabilities in the FCP (Fast Controlled Precipitation) method, which simulates real-world scaling conditions more accurately than conventional accelerated methods.
a. Key Findings:
Nucleation Delay: Odylife G01 significantly prolongs the nucleation phase of calcium carbonate (CaCO₃), indicating effective inhibition of initial crystal formation.
Supersaturation Tolerance:
At 0.1 ppm, CaCO₃ precipitates at a supersaturation level (SL) of 18, showing early inhibition onset.
At 2 ppm, Odylife G01 completely inhibits precipitation, even at an SL of 54, which is a high threshold for scale formation.
Crystal Growth Inhibition: While its effect on crystal growth rate is limited, its ability to prevent nucleation and delay precipitation makes it highly effective in early-stage scale control.
b. Comparative Insight:
Compared to PAA (Polyacrylic Acid), which inhibits precipitation at SL 68 from 0.5 ppm, Odylife G01 requires a higher dose (2 ppm) to reach SL 54. However, Odylife G01 still shows excellent performance in delaying and preventing scale formation under realistic conditions.
Odylife G01 demonstrated superior scale inhibition efficiency compared to the other tested materials (PBTC, AA-AMPS A, AA-AMPS B) in both calcium carbonate and calcium sulfate precipitation tests.
For calcium carbonate, Odylife G01 achieves:
18.0% IE at 5 ppm, outperforming all other inhibitors at the same dose.
A maximum IE of 64.9% at 25 ppm, significantly higher than the others.
For calcium sulfate, Odylife G01 showed:
Comparable performance to AA-AMPS A and B at lower doses.
An exceptional IE of 99% at 25 ppm, indicating near-complete inhibition.
These results confirm that Odylife G01 is the most effective inhibitor among those tested, especially at higher concentrations, and is particularly well-suited for applications requiring strong control of calcium sulfate scaling.
2. Implications for sustainable water treatment strategies
The findings from both chronoamperometry (CA) and fast controlled precipitation (FCP) experiments highlight several important implications for designing sustainable and efficient water treatment systems:
Treatment systems can be optimized to use minimal effective doses, reducing chemical usage and environmental impact. Odylife G01 significantly delays nucleation and prevents early-stage scaling, this makes it ideal for preventive strategies in cooling towers, desalination plants, and industrial water loops, where early scale formation is most problematic.
As a natural plant extract, Odylife G01 offers a greener alternative to synthetic inhibitors like PBTC or PAA-AMPS, supporting eco-friendly water treatment initiatives and aligns with regulatory trends favoring biodegradable and non-toxic additives.
Its broad-spectrum performance reduces the need for multiple inhibitors, simplifying treatment protocols and lowering operational cost. Encourages development of adaptive dosing systems that respond to real-time water chemistry, improving efficiency and avoiding overdosing.
Odylife G01 represents a promising candidate for sustainable water treatment strategies. Its natural origin, high inhibition efficiency, and dose-responsive behavior make it suitable for modern, environmentally conscious water management systems.
Figure 1. pH-time curves and resistivity-time curves for PAA at different concentrations during a FCP test (T = 20 °C, 800 rpm) with 50 mg/L of Ca2+ in carbonically pure water.
image 3 ODYSSEE Environnement
Figure 2. pH-time curves and resistivity-time curves for ODYLIFE G01 at different concentrations during a FCP test (T = 20 °C, 800 rpm) with 50 mg/L of of Ca2+ in carbonically pure water.
image 4 ODYSSEE Environnement
Figure 3. Chronoamperometric curves for PAA at different concentrations during CA test (35 °C, 1000 rpm) in scaling water.
image 5 ODYSSEE Environnement
Figure 4. Chronoamperometric curves for PAA-AMPS at different concentrations during CA test (35 °C, 1000 rpm) in scaling water.
image 6 ODYSSEE Environnement
Figure 5. Chronoamperometric curves for ODYLIFE G01 at different concentrations during CA test (35 °C, 1000 rpm) in scaling water.
Figure 6. Efficacity curves for the inhibitor tested using (left) FCP, (right) CA.
image 9 ODYSSEE Environnement
Figure 7. Calcium Carbonate Inhibition Efficacity for PBTC, AA-AMPS (A), AA-AMPS (B) and Odylife G01 at 5, 10 and 25 ppm.
image 10 ODYSSEE Environnement
Figure 8. Calcium Sulphate Inhibition Efficacity for PBTC, AA-AMPS (A), AA-AMPS (B) and Odylife G01 at 5, 10 and 25 ppm.
References
F. Hui, J. Lédion, Evaluation methods for the scaling power of water, Journal Européén d’hydrologie 33 (2002) 55–74.
J. LEDION, P. LEROY, J.-P. LABBE, Détermination du caractère incrustant d’une eau par un essai d’entartrage accéléré, Tech. Sci. Munic. (1971) (1985) 323–328.
C. Gabrielli, M. Keddam, H. Perrot, A. Khalil, R. Rosset, M. Zidoune, Characterization of the efficiency of antiscale treatments of water Part I: Chemical processes, J Appl Electrochem 26 (1996) 1125–1132. https://doi.org/10.1007/BF00243737.
J. Lédion, B. François, J. Vienne, Caractérisation du pouvoir entartrant de l’eau par précipitation contrôlée rapide, Journal Européen d’hydrologie 28 (1997) 15–35.
G. Gauthier, Y. Chao, O. Horner, O. Alos-Ramos, F. Hui, J. Lédion, H. Perrot, Application of the Fast Controlled Precipitation method to assess the scale-forming ability of raw river waters, Desalination 299 (2012) 89–95. https://doi.org/10.1016/j.desal.2012.05.027.
L. Legrand, G. Poirier, P. Leroy, Les équilibres carboniques et léquilibre calcocarbonique dans les eaux naturelles: étude graphique, utilisation de calculatrices, Eyrolles, 1981.
C. Xia, H. Xia, R. Ding, Y. Ding, Z. Chen, H. Xu, W. Yang, Synthesis, characterization, and performance evaluation of AA/AMPS copolymers with different molecular weights and explanation of the inhibition mechanism of calcium carbonate and calcium sulfate, Colloids and Surfaces A: Physicochemical and Engineering Aspects 698 (2024) 134558. https://doi.org/10.1016/j.colsurfa.2024.134558.
G. Fleer, M.A.C. Stuart, J.M.H.M. Scheutjens, T. Cosgrove, B. Vincent, Polymers at Interfaces, Springer Science & Business Media, 1993.
F. Mansfeld, Use of electrochemical impedance spectroscopy for the study of corrosion protection by polymer coatings, J Appl Electrochem 25 (1995) 187–202. https://doi.org/10.1007/BF00262955.
R.Y. Ning, J.P. Netwig, Complete elimination of acid injection in reverse osmosis plants, Desalination 143 (2002) 29–34. https://doi.org/10.1016/S0011-9164(02)00218-7.
O. Horner, H. Cheap-Charpentier, X. Cachet, H. Perrot, J. Lédion, D. Gelus, N. Pécoul, M. Litaudon, F. Roussi, Antiscalant properties of Herniaria glabra aqueous solution, Desalination 409 (2017) 157–162. https://doi.org/10.1016/j.desal.2017.01.028.
A. Buvignier, H. Cheap-charpentier, G. Chaussec, F. Chaussec, L’entartrage et son inhibition dans les réseaux d’eaux industrielles, Téchniques de l’ingénieur (2022).
A.A. Al-Hamzah, C.P. East, W.O.S. Doherty, C.M. Fellows, Inhibition of homogenous formation of calcium carbonate by poly (acrylic acid). The effect of molar mass and end-group functionality, Desalination 338 (2014) 93–105. https://doi.org/10.1016/j.desal.2014.01.020.
S. Kamali, R. Arefinia, Effect of PAAT as an Environmentally Friendly Terpolymer on the Scale Inhibition of CaCO3 in Artificial Seawater: Chemical and Electrochemical Study, Ind. Eng. Chem. Res. 59 (2020) 627–635. https://doi.org/10.1021/acs.iecr.9b05943.
J. Mazumder, M. A, A Review of Green Scale Inhibitors: Process, Types, Mechanism and Properties, Coatings 10 (2020) 928. https://doi.org/10.3390/coatings10100928.
Z. Belarbi, J. Gamby, L. Makhloufi, B. Sotta, B. Tribollet, Inhibition of calcium carbonate precipitation by aqueous extract of Paronychia argentea, Journal of Crystal Growth 386 (2014) 208–214. https://doi.org/10.1016/j.jcrysgro.2013.09.048.
M. Chaussemier, E. Pourmohtasham, D. Gelus, N. Pécoul, H. Perrot, J. Lédion, H. Cheap-Charpentier, O. Horner, State of art of natural inhibitors of calcium carbonate scaling. A review article, Desalination 356 (2015) 47–55. https://doi.org/10.1016/j.desal.2014.10.014.
A. Buvignier, F. Bertrand, F. Chaussec, Retour d’expérience sur le traitement antitartre d’eaux de tar par ODYLIFE, un produit bio-sourcé., in: Poitiers, 2020. https://www.cefracor.org/sites/www.cefracor.org/files/documents/commissions/fichier-fr/200813_-_article_jie_2020_vf.pdf.
Jorge M. R. García Mejia is a Chemical Engineer. He has 15 years of experience working in chemical treatment processes for hydrocarbon refining, oily water treatment on O&G production platforms in Mexico and Venezuela, and chemical treatment in CFE Power Plants for flue gases and steam generators used in electricity production. Jorge has also been involved in conceptual engineering projects, such as designing oily water treatment systems at the Héctor R. Lara Sosa Refineries in Cadereyta, N.L., and optimizing water cycle at the Dos Bocas Maritime Terminal. Currently, he is the Technology Development Manager at Hydrocontrol Industrial, where he leads the development of new products and services for water treatment across various industries including petrochemical, mining, power generation, food and beverages, and metalworking. He may be contacted at: Jorge.garciam@hydrocon.com.mx.
Fabrice Chaussec is the co-founder and current General Director of ODYSSEE Environnement. As water treatment expert with 30 years of experience in the field, he has played a key role in the design and development of innovative technologies aimed at preventing corrosion, scaling, and biofilm formation. Before founding ODYSSEE Environnement in 2006, he gained significant experience in the sector while working at Concorde Chimie, where he contributed to the development of film forming amines products. Under his leadership, ODYSSEE Environnement has introduced cutting-edge solutions, including fifth-generation film-forming agents for corrosion protection and bio-based scale inhibitors derived from renewable resources. He may be contacted at: f.chaussec@odymail.fr.
Amaury Buvignier joined the research and development laboratory of ODYSSEE Environnement in 2019. He holds a Ph.D. in chemistry, with research focused on the interactions between materials and microorganisms. He is actively involved in the design and development of natural active ingredients aimed at combating corrosion, scale, and biofilm formation in industrial water systems. He may be contacted at: a.buvignier@odymail.fr.
Logan Manaranche is a Chemical Engineer with extensive expertise in industrial water treatment and process optimization. He joined ODYSSEE Environnement in 2013 as a Technical Engineer in France, where he specialized in the development and implementation of innovative water treatment solutions. Over the years, he has played a key role in optimizing water management strategies for industrial applications, ensuring both operational efficiency and environmental sustainability. Now serving as Vice President of ODYSSEE USA INC., Logan provides technical support and strategic guidance across the American continent, leveraging his in-depth knowledge of water chemistry, corrosion control, microbiological management, and process efficiency. His work focuses on delivering data-driven, eco-responsible solutions that enhance system performance while minimizing environmental impact. With a strong background in analytical problem-solving and applied research, Logan is committed to advancing the field of water treatment through innovative technologies and sustainable engineering practices. He may be contacted at: l.manaranche@odymail.com.
Our latest news
19 November 2025|INNOVATION
From White Rust to Long-Term Protection Mechanisms:
Key Factors, Passivation Strategies and Field Applications for Galvanized Cooling Towers Foreword: Strategic decisions on passivation must be made based on site-specific factors, which this article does not cover in […]
Decoding Corrosion: Understanding and Controlling Iron Oxides in Closed-Loop Systems
AbstractIn closed-loop systems, iron corrosion leads to the formation of various products, influenced by the presence or absence of dissolved oxygen. In oxidizing environments, iron hydroxides and oxyhydroxides predominate, notably […]
Filming Amines: A reliable solution for industrial water treatment in the US
The challenge for industrial operators Industrial water systems are integral to operations in power plants, refineries, manufacturing units, food plants, hospitals or chemical production facilities across the United States. However, […]
Ce site utilise des cookies pour son bon fonctionnement, la mesure d’audience et des services personnalisés. Vous pouvez accepter, refuser ou modifier vos choix à tout moment.
Fonctionnel
Always active
L’accès ou le stockage technique est strictement nécessaire dans la finalité d’intérêt légitime de permettre l’utilisation d’un service spécifique explicitement demandé par l’abonné ou l’utilisateur, ou dans le seul but d’effectuer la transmission d’une communication sur un réseau de communications électroniques.
Préférences
L’accès ou le stockage technique est nécessaire dans la finalité d’intérêt légitime de stocker des préférences qui ne sont pas demandées par l’abonné ou l’internaute.
Statistiques
Le stockage ou l’accès technique qui est utilisé exclusivement à des fins statistiques.Le stockage ou l’accès technique qui est utilisé exclusivement dans des finalités statistiques anonymes. En l’absence d’une assignation à comparaître, d’une conformité volontaire de la part de votre fournisseur d’accès à internet ou d’enregistrements supplémentaires provenant d’une tierce partie, les informations stockées ou extraites à cette seule fin ne peuvent généralement pas être utilisées pour vous identifier.
Marketing
L’accès ou le stockage technique est nécessaire pour créer des profils d’internautes afin d’envoyer des publicités, ou pour suivre l’utilisateur sur un site web ou sur plusieurs sites web ayant des finalités marketing similaires.